欢迎登录赣金网     今天是:2025年07月07日 星期一
站点—头部-广告位
当前位置:首页 >> 财经资讯>> 正文内容

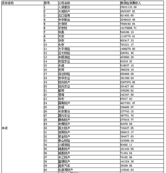
前10月财产公司原保费收入情况:人保股份居首

来源:中国保监会网站    作者:    发布时间:2016年12月01日

2
2
 
    注:1、本表数据是保险业执行《关于印发<保险合同相关会计处理规定〉的通知》(财会[2009]15号)后,各保险公司按照相关口径要求报送的数据。
 
  2、原保险保费收入为本年累计数,数据来源于各产险公司报送保监会月报数据。
 
  3、原保险保费收入为各产险公司内部管理报表数据,未经审计,各产险公司不对该数据的用途及由此带来的后果承担任何法律责任。
 
  4、由于计算的四舍五入问题,各产险公司原保险保费收入可能存在细微的误差。

分享:

来源:中国保监会网站

责任编辑:张春明

[版权与免责声明]
主办:赣金共赢(赣州)传媒有限公司
Copyright© 2009-2012 www.gzjrw.com.cn All rights reserved 赣金网 版权所有.
请使用IE6.0以上版本或将浏览器设置为兼容模式浏览本网站
赣ICP备2025067349号-1 赣公网安备36070202001187号 技术支持:红浩网络